Skip to content Skip to sidebar Skip to footer

Widget HTML #1

How To Solve Equations Using Substitution - We're here to support your family!

How To Solve Equations Using Substitution - We're here to support your family!. You'll get an equation in x. Substitution method can be applied in four steps. The main idea here is that we solve one of the equations for one of the unknowns, and then substitute the result into the other equation. There are many different ways to solve a system of linear equations. We're here to support your family!

Substitute that value of y into either of the two original equations, and you'll get x = 2. Take that value of x, and substitute it into the first equation given above (x + y = 3). An old video where sal introduces the substitution method for systems of linear equations. What is the substitution method in algebra? How do you do multi step linear equations?

Solve A Linear Quadratic System By Substitution Expii
Solve A Linear Quadratic System By Substitution Expii from img.youtube.com
Systems of equations with substitution: Now substitute for every , the equation is transformed into. With that substitution the first equation becomes (1+y) + y = 3. Mar 29, 2019 · so x = 1 + y. Take that value of x, and substitute it into the first equation given above (x + y = 3). First, solve one linear equation for y in terms of x. How do you do multi step linear equations? What is the substitution method in algebra?

Then substitute that expression for y in the other linear equation.

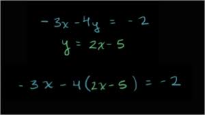
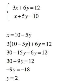
That means 1 + 2y = 3. How to solve a system using the substitution method. How do you calculate system of equations? With that substitution the first equation becomes (1+y) + y = 3. To solve a system of equations means to obtain a common values of the variables that makes the ea. Substitute your answer into the first equation and solve. There are many different ways to solve a system of linear equations. Take that value of x, and substitute it into the first equation given above (x + y = 3). Systems of equations with substitution. Substitution method can be applied in four steps. Steps for using the substitution method in order to solve systems of equations. Substitute that value of y into either of the two original equations, and you'll get x = 2. (put in y = or x = form) substitute this expression into the other equation and solve for the missing variable.

Substitution method can be applied in four steps. Subtract 1 from each side: With that substitution the first equation becomes (1+y) + y = 3. Now substitute for every , the equation is transformed into. (put in y = or x = form) substitute this expression into the other equation and solve for the missing variable.

Using The Substitution Method To Solve Systems Of Equations Studying Math Systems Of Equations Equations
Using The Substitution Method To Solve Systems Of Equations Studying Math Systems Of Equations Equations from i.pinimg.com
How do you do multi step linear equations? Systems of equations with substitution: That means 1 + 2y = 3. How do you calculate system of equations? (put in y = or x = form) substitute this expression into the other equation and solve for the missing variable. Substitute your answer into the first equation and solve. The main idea here is that we solve one of the equations for one of the unknowns, and then substitute the result into the other equation. Steps for using the substitution method in order to solve systems of equations.

Once the equation is factored, replace the substitutions with the original variables, which means that, since , then becomes.

👉learn how to solve a system of equations by substitution. Systems of equations with substitution: (put in y = or x = form) substitute this expression into the other equation and solve for the missing variable. Once the equation is factored, replace the substitutions with the original variables, which means that, since , then becomes. How can you use graph to solve systems of equations? Take that value of x, and substitute it into the first equation given above (x + y = 3). Solving systems of equations with substitution. There are many different ways to solve a system of linear equations. Then, see how to use that variable value to find the value of the other variable. Solve one of the equations for either x = or y =. In this tutorial, you'll see how to solve a system of linear equations by substituting one equation into the other and solving for the variable. How do you do multi step linear equations? Subtract 1 from each side:

Take that value of x, and substitute it into the first equation given above (x + y = 3). Substitute that value of y into either of the two original equations, and you'll get x = 2. Then, see how to use that variable value to find the value of the other variable. How do you do multi step linear equations? Substitute your answer into the first equation and solve.

Solving Simultaneous Equations By Substitution Examples Solutions Videos Worksheets Lessons Activities
Solving Simultaneous Equations By Substitution Examples Solutions Videos Worksheets Lessons Activities from www.onlinemathlearning.com
👉learn how to solve a system of equations by substitution. Systems of equations with substitution. How can you use graph to solve systems of equations? There are many different ways to solve a system of linear equations. That means 1 + 2y = 3. An old video where sal introduces the substitution method for systems of linear equations. Steps for using the substitution method in order to solve systems of equations. Substitute your answer into the first equation and solve.

Substitute that value of y into either of the two original equations, and you'll get x = 2.

Mar 29, 2019 · so x = 1 + y. With that substitution the first equation becomes (1+y) + y = 3. (put in y = or x = form) substitute this expression into the other equation and solve for the missing variable. How do you do multi step linear equations? Substitution method can be applied in four steps. You'll get an equation in x. That means 1 + 2y = 3. How can you use graph to solve systems of equations? Systems of equations with substitution: Steps for using the substitution method in order to solve systems of equations. Solve 1 equation for 1 variable. The main idea here is that we solve one of the equations for one of the unknowns, and then substitute the result into the other equation. Then substitute that expression for y in the other linear equation.